服务热线
400-611-2850
普略医学是国内首家专注于医学科研咨询及技术服务的公司,专门为临床医生提供科研问题解决方案。
Phone: 400-611-2850
E-mail:: service@100biotech.com
或 在线留言 给我们
1、联系与咨询。
您可通过公司的服务热线400-611-2850和服务邮箱 service@100biotech.com,或者与您联系的普略医学服务人员,告知您的科研合作需求2、签订保密协议,洽谈具体服务内容。
在双方签订合作保密协议后,您可与普略医学科研合作咨询小组进行具体项目沟通;您和普略医学双方明确服务产品需求和具体项目要求;普略医学制作和提交项目实施方案和报价。3、双方签订合同,客户按合同支付费用。
双方对合同服务内容和价格无异议后,签订服务合同。您按合同约定支付费用,并提供必要的实验药品或样品(实验样品的寄送须采用特快专递形式邮寄,有低温要求的、固定要求的,按低温保存、固定防碎方法运输,以确保安全可靠)。4、项目实施,开始为客户提供科研咨询和技术服务。
普略医学按合同方案进行项目实施。项目实施过程中,普略医学项目经理按时与客户反馈及交流信息;普略医学开始为客户提供相关科研咨询和技术服务,并及时按合同将数据、材料、样本、模型等相关信息材料提供给客户。5、分析结果资料,整理提交数据。
普略医学技术团队分析整理数据,总结结论,将完整项目实施报告和数据、图片等相关信息提供给客户,同时根据合同处理相关的实验材料。项目报告内容将包括具体实验方法、步骤、所用试剂、仪器、数据、结果和结论等。6、项目完成,协商进一步合作。
项目完成,客户如有后续科研服务需求,双方协商进一步合作。

【独家权威解读】急性髓系白血病感染性并发症
发布时间:2015-07-28 00:00 文章来源: 作者:
近日,发表在《Genes and Immunity》杂志上的一篇研究,题为“Polymorphisms of Toll-like receptors (TLR2 and TLR4) are associated with the risk of infectious complications in acute myeloid leukemia”,有新的重大发现,即从多态性的toll样受体(TLR2和TLR4)的角度,来重新审视急性髓系白血病感染性并发症。
急性白血病(acute leukemia,AL)是恶性克隆性疾病,绝大多数白血病病变局限于髓系,或局限于淋巴系,多数白血病细胞仅仅限于某一个细胞系,甚至只限于某一个系的某个分化阶段。成分输血、营养学、新型化疗和抗生素等药物的研制开发以及生物免疫治疗的应用为大剂量化疗、骨髓移植提供了广阔的应用前景。由于其疗效佳、安全性好,因此,根治白血病似乎已成为可能。然而,急性白血病由于强烈化疗以及白血病本身引起的白细胞减少或粒细胞缺乏,导致免疫力极其低下,因此,感染已成为急性白血病患者最为常见的并发症,也是导致其死亡的主要原因之一。调查结果显示,约60%~75%的急性白血病患者直接或间接死于感染。尽管广谱抗生素广泛应用于临床,但是感染的发生率和病死率仍居高不下,多重耐药性的革兰阴性菌已成为院内感染的主要病原菌,抗生素耐药的全球化已成为事实。
TOLL样受体(Toll like receptor,TLR)是新近发现的先天性免疫系统中的细胞跨膜受体及病原模式识别受体之一,在急性炎症反应细胞吞噬作用的调节和细胞信号转导以及细胞凋亡中起重要作用。随着对TLR研究的深入,其在感染性疾病中的作用也备受关注。这篇文章总述介绍了TLR的结构、功能和在急性白血病并发感染中表达的意义及研究现状。
TLR的结构、功能及信号转导途径,是一种天然免疫识别体系,是机体抵御病原微生物感染的第一道防线。天然免疫识别体系主要是病原微生物共同的、高度保守的结构,这种结构称为病原相关的分子模式(pathogen associated molecular patterns,PAMPS)。PAMPS受体称为模式识别受体(pattern recognition receptors,PRR),PRR不仅识别PAMPS,有些PRR还具有向胞内传导信号而引起细胞免疫应答的作用,如TLR家族。TLR是最早在果蝇体内发现的一种信号转导蛋白质,在胚胎发育过程中与腹背侧体轴的形成有关,而在成年果蝇,则可通过诱导产生抗细菌、真菌的肽类而参与果蝇的天然性免疫。
TLR分子为I型跨膜蛋白,由胞外区、跨膜段和胞内区三部分组成。胞外区有富含亮氨酸重复序列结构域(1eucinerich repeats domain,LRR domain),而胞内区存在一段序列保守区,该序列与IL1受体的胞内区的保守序列有高度同源性,被称为Toll/IL1R (TIR)区域。在TLR中,胞外LRR的长度是不同的,而正是这种区别导致了不同微生物配体的特异性,胞内TIR区是TLR活化时向下游传导信号的主要区域。
在急性白血病并发感染的发病机制研究中显示:急性白血病并发感染患者TLR4基因表达水平异常,而TLR4基因突变与机体对革兰阴性菌感染的易感性密切相关。Agnese等采用PCR结合限制性内切酶片段长度多态性分析技术,发现人体的TLR4基因至少存在2种基因多态性:Asp299Gly(299位天门冬氨酸与甘氨酸的置换)和Thr399Ile (399位苏氨酸与异亮氨酸的置换),Asp299Gly和Thr399Ile基因多态性与急性白血病合并革兰阴性菌感染(79%的非野生型等位基因携带者并发革兰阴性菌感染)的易感性密切相关。
TLR是存在于多细胞生命体的防御机制,该受体家族不仅能激活天然免疫系统,而且也为激活获得性免疫提供刺激信号。近年来,关于TLR的生物学特性及其在天然免疫中的作用研究已经取得了很大的突破和进展,系统了解TLR与感染性疾病易感性之间的关系,对筛选和保护易感人群,切断传播途径,以及快速中断感染性疾病的传播具有重大意义。因此,系统研究TLR家族将使人们对宿主病原体相互作用的认识,提升到一个全新的高度。由于TLR4在急性白血病并发感染发病机制中的重要作用,有学者提出以TLR4作为治疗急性白血病并发感染时的一个新型靶点。如果利用分子生物学手段,研究TLR对急性白血病感染的表达机理,将为预防急性白血病并发感染提供重要的监测指标,为深入研究急性白血病并发感染提供新的思路和策略,从而为其治疗开辟新的途径。
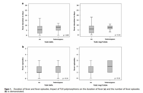
在急性髓系白血病(AML)患者中,感染性并发症仍然是发病率和死亡率的主要原因之一。toll样受体的几个单核苷酸多态性(SNPs)会影响遗传机体对疾病的遗传易感性,甚至导致败血症。科学家们借助化疗进行调查,研究AML患者体内不同的单核苷酸多态性对脓毒症和肺炎的发病率的影响。研究者们分析了155位接受化疗的AML患者体内三种单核苷酸多态性的分布,分别是TLR2的Arg753Gln和TLR4的Asp299Gly和Thr399Ilc。
对脓毒症和肺炎的发病率的研究,通过采用多因素回归分析进行评估。研究结果表明:出现肺炎的AML患者中TLR Arg753Gln位点出现的频率显著提高(数据显示,OR:10.78;95%置信区间CI:2.0~58.23;P = 0.006)。然而,同时患有脓毒症和肺炎的患者中,TLR4Asp299Gly多态性和Thr399Ile多态性无显著差异(数据显示,OR:3.55;95%置信区间CI:3.55~1.21,P = 0.021。OR:3.57,95%置信区间CI:1.3~9.86,P = 0.014,)。
这项研究具有重大的理论意义和现实意义。研究首次通过TLR2和TLR4的多态性研究,分析了接受化疗的AML患者感染并发症的几率,为后续的系列研究提供了全新的视角,并奠定了理论基础。
(来源:百替生物 作者:Martina)
原文下载链接: http://pan.baidu.com/s/1jGAJCjW 密码: dtwt